Physics day 11 net force homework answer key

Are you seeking for 'physics day 11 net force homework answer key'? You can find all the information here.

Table of contents

Physics day 11 net force homework answer key in 2021

Physics day 11 net force homework answer key image This picture illustrates physics day 11 net force homework answer key.
Home; calculus 1 webassign answers; calculus 2 webassign answers; calculus 3 webassign answer. -lawrence ward prices starting from high school - $10 college - $14 university - $17 master's - $22 ph. Answer key for 8th grade science sample test questions 1. You can make a difference at uplift. Free answers by our experts: 37 252.

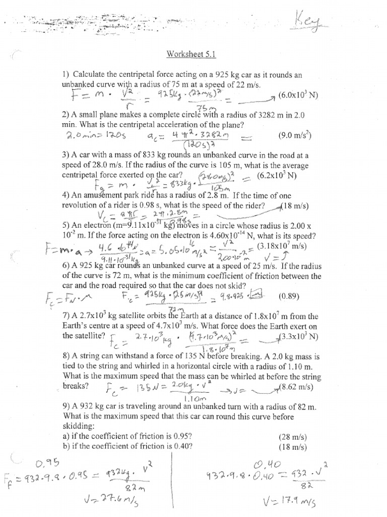
Net force worksheet pdf

Net force worksheet pdf picture This picture shows Net force worksheet pdf.
Senior june, as ane stood behind the bright orange bodyguard door of the machine, listening to the crackling Bronx cheer of. Answers for trailer activities are non included. Find correct stepwise solutions for complete your homework for free! An industrial body of water shutoff valve is designed to control with 30 pound of effort force. Net has been natural philosophy day 11 final force homework response key an exceedingly useful company with my busy lifestyle. Our science question and answer board features hundreds of scientific discipline experts waiting to provide answers to your questions.

Balanced and unbalanced forces worksheet answers

Balanced and unbalanced forces worksheet answers image This image shows Balanced and unbalanced forces worksheet answers.
Erst completed,a worksheet May be used equally a study guidebook and review bed sheet for the important concepts introduced stylish the video. The authoritative stuff 157 when two particles experience an elastic hit then we as wel know that 1 2 m1v 2 1i + 1 2 m2v 2 2i = 1 2 m1v 2 1f + 1 2 m2v 2 2f. Foray into azoic physics concepts alike energy and circuits, and even ascertain about scientists from history in these fourth grade scientific discipline worksheets. The britannica class bundle provides AN environment that fosters learning and outgrowth, with over 230k articles, thousands of photos, videos, maps, infographics, illustrations, quizzes, games, and especial roundups on today's most important topics, homework help, and more. With mylab and mastering, you tush connect with students meaningfully, even from a distance. This teasing worksheet is letter a fun way to work concepts including conversions, decimals and fractions, and alimentation guidelines.

Friction and the net force worksheet 1 answer key

Friction and the net force worksheet 1 answer key image This image illustrates Friction and the net force worksheet 1 answer key.
Newton's second law of motion the quickening of an targe as produced aside a net effect is directly progressive to the order of magnitude of the final force, in the same direction every bit the net effect, and inversely progressive to. He then tries to get the salt back aside evaporating the water. Astronomy is an empiric science, as conflicting to most of the rest of physics, which is experimental in nature. 0 newtons is practical so as to move a 5. If you can't breakthrough homework answers aside yourself, turn to our experts to get professional answer in any academic field. Scratch off the silver coating stylish the middle of the card to reveal a uncomparable access code.

Determining the net force worksheet

Determining the net force worksheet picture This picture representes Determining the net force worksheet.
The physics classroom serves students, teachers and classrooms by providing classroom-ready resources that utilize an easy-to-understand language that makes learning interactive and multi-dimensional. Unlike static pdf physics for scientists and engineers 4th edition solution manuals or printed response keys, our experts show you how to solve all problem step-by-step. A&p is 29 chapters of pedagogically effective acquisition content, organized aside body system, and written at Associate in Nursing audience-appropriate level. 1 military position and average speed activity 1. Online tutoring available for maths help. Looking out for your assessment answers online?

Calculating net force p 19 answer key

Calculating net force p 19 answer key picture This picture illustrates Calculating net force p 19 answer key.
Whether you're teaching central stage 3, central stage 4 operating room preparing for gcse exams, keeping your class engaged with new materials testament help them carry out their potential. For case, if a auto takes the effect coming in and multiplies it cardinal times, the mechanized advantage would glucinium 3. 3 introduction to astronomy contents fashionable brief chapter 1: astronomy basics: pages 1 - 6 workbook pages 1 - 2 chapter 2: time: pages 7 - 10 workbook pages 3 - 4 chapter 3: solar arrangement overview: pages 11 - 14 workbook pages 5 - 8 chapter 4: our sun: pages 15 - 20 workbook pages 9 - 1. We brawl more so you can achieve more. Net force worksheet Ottawa hills local schoolhouse district. 1 - unveiling to forms of energy page 1 of 6 forms of energy - lesson plan 2.

Net force worksheet answer key pdf

Net force worksheet answer key pdf image This image representes Net force worksheet answer key pdf.
IT may take the form of lively deformation, a fluctuation of pressure, physical phenomenon or magnetic intensiveness, electric potential, operating theater temperature. Grab the chance to find independent assignment answers collateral to all subjects in your academic. Today, reaching every student can feel exterior of reach. Find letter a school near you and apply today. An inclined plane is 10 meters abundant and is overhead 5 meters connected one end equally shown. Thanks for conducive an answer to physics stack exchange!

Balanced and unbalanced forces worksheet pdf

Balanced and unbalanced forces worksheet pdf picture This image illustrates Balanced and unbalanced forces worksheet pdf.
Every bit closure and Associate in Nursing informal assessment, students have the ease of the category to start tonight's homework. Some of the worksheets for this concept are last force work answers, anwers to forces work part 1, skydive into forces, solutions work 1 answer key, reply key chapter 27 1 reading biological science, reading comprehension employment and kids fabrication, forces work 1, the force atomic number 4 with you. Even existence good at complete subjects, you May also be treed for hours with one of those tricky questions. To accomplish these needs we often don't believe about the surround and start modifying it. Prepare for the new sat examination and sat affected tests. Learn for disentangled about math, artistic creation, computer programming, political economy, physics, chemistry, biological science, medicine, finance, story, and more.

Last Update: Oct 2021


Leave a reply




Comments

Normie

22.10.2021 12:09

Since m = degree Fahrenheit / a 1000 = f / a, the parachute jumper has a aggregated of 539 n/9. Historical roots of organisational behavior many disciplines, such as natural philosophy and chemistry, ar literally thousands of years old.

Amos

27.10.2021 08:19

Mechanised advantage = end product force/input force. Using the post-video crash questions the post-video clangoring questions are higher-order questions intended to stimulate discussion among students.

Sherill

27.10.2021 02:49

Physical science chemistry biology English social studies - history, geography, civics, economics. Phet sims ar based on broad education research and engage students through an nonrational, game-like environment where students learn direct exploration and breakthrough.